米国心臓病学会(ACC)が2025年9月に発表した声明で、炎症を示すバイオマーカーが心臓病の予測因子として強力であるとして、炎症の普遍的なスクリーニングを推奨しました。心臓病に関連するバイオマーカーを追跡するアプリ「Empirical Health」の開発者であるブランドン・バリンジャー氏が、なぜコレステロールよりも炎症が心臓病の予測因子として強力なのかを解説しています。
Inflammation and Cardiovascular Disease: 2025 ACC Scientific Statement: A Report of the American College of Cardiology | JACC
https://www.jacc.org/doi/10.1016/j.jacc.2025.08.047
Inflammation now predicts heart disease more strongly than cholesterol | Empirical Health
https://www.empirical.health/blog/inflammation-and-heart-health/
以前から慢性的な炎症は心臓病のリスクを高めることが知られていましたが、これまでのところ炎症は「標準的な心臓病リスク因子(SMuRFs)」ではありませんでした。ところが9月の声明で米国心臓病学会は、炎症を示すバイオマーカーである高感度C反応性タンパク質(hs-CRP)が心臓病の強力な予測因子であり、すべての人々にhsCRPの測定を推奨しました。
米国心臓病学会は、「臨床医は測定できないものを治療することはできません。そのため、一次予防及び二次予防患者におけるhs-CRPの普遍的スクリーニングは、コレステロール検査と組み合わせることで重要な臨床的機会となるので推奨されます」と述べています。
バリンジャー氏は、米国心臓病学会が炎症バイオマーカーの測定を推奨するに至った経緯として、「hs-CRPによる炎症の測定は、LDL(悪玉)コレステロール値よりも心臓病の強力な予測因子となっている」というものがあると指摘しています。
数十年にわたり、LDLコレステロールは心血管リスクを評価する上で主要な項目となってきました。しかし近年の証拠からは、実際のところhs-CRPの方が心臓病の予測因子として優れていることが示唆されているとのこと。
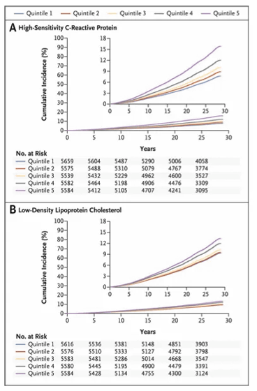
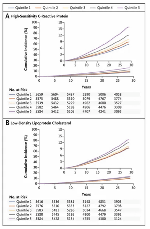
以下のグラフは、上がhs-CRPの数値と心臓病の発生率を、下がLDLコレステロール値と心臓病の発生率を表したもの。横軸が測定時から経過した年を、縦軸が心臓病の発生率を示しており、被験者はそれぞれの数値に基づいて5分割されています。最も数値が悪い下位20%が「Quintile 5(紫色)」、その次に悪い20%が「Quintile 4(黒色)」、その次の20%が「Quintile 3(黄色)」、その次の20%が「Quintile 2(赤色)」、最も数値がいい上位20%が「Quintile 1(青色)」となっており、いずれの数値も心臓病の予測因子として機能しています。しかし、hs-CRPとLDLコレステロール値を比較すると、hs-CRPの方が将来的な心臓病発生率の予測精度が高いことがわかります。
この結果についてバリンジャー氏は、「ある意味でコレステロールは、自らの成功の犠牲者になってしまったのです」と指摘しています。バイオマーカーと心臓病の関連を分析するこれらのデータには、「過去の検査でコレステロール値が高いことが判明し、コレステロール値を低下させる薬であるスタチンを服用している人々」も含まれています。
これにより、スタチンによって最新の検査時点ではコレステロール値が低くなっていても、その他の心臓病に関するリスクが残存している場合、「コレステロール値が低いのに心臓病を発症した」という事例が発生することがあります。
一方で炎症は、SMuRFsに含まれていない中で最も心臓病リスクと関連しているバイオマーカーのひとつです。そのため、スタチンを服用してコレステロール値が下がっていても、hs-CRPが高い場合は心臓病リスクが高いと予測できるというわけです。
この記事のタイトルとURLをコピーする
・関連記事
致死的な心臓発作は「月曜日」に最も発生しやすいことが判明、その原因とは? – GIGAZINE
心臓発作を起こした後は非常に眠たくなることが判明、眠らないと心血管疾患の発症リスクが高まる – GIGAZINE
たった3日続けて睡眠不足になるだけで心臓に害が及ぶかもしれない – GIGAZINE
がんや心臓発作のリスクを抑えるために控えるべき食品&推奨される食品とは? – GIGAZINE
人工甘味料のアスパルテームが動脈硬化を引き起こして心臓病や脳卒中のリスクを高める可能性 – GIGAZINE
新型コロナウイルスの「心臓への影響」は医師の予想に反していた – GIGAZINE
ソース元はコチラ
この記事は役に立ちましたか?
もし参考になりましたら、下記のボタンで教えてください。




